Noticias

Defensa de JOH califica como “falso” testimonio de agente de la DEA y solicita hacer corrección

De acuerdo a Renato Stabile, se debe hacer una corrección en la declaración de la agente de la DEA Jennifer Taul, pues es contradictorio al testimonio del Dr. Darío Euraque, quien aseguró que el tráfico de cocaína disminuyó en el gobierno de JOH

vie 8 de marzo de 2024 a las 0:0

NUEVA YORK, ESTADOS UNIDOS.- Calificando como “falso” el testimonio de Jennifer Taul, agente de la Administración de Control de Drogas (DEA, por sus siglas en inglés) y solicitando reabrir el expediente para corregir el resumen de réplica (documento) de la Fiscalía de Estados Unidos proporcionado al jurado, se pronunció la defensa del expresidente de Honduras (2014-2018 y 2018-2022) Juan Orlando Hernández.

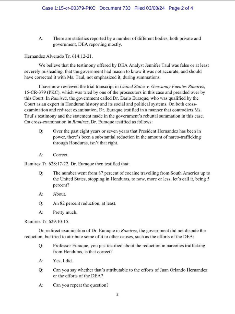
“Creemos que el testimonio ofrecido por la analista de la DEA, Jennifer Taul, fue falso o al menos gravemente engañoso, que el gobierno tenía motivos para saber que no era exacto y debería haberlo corregido con la Sra. Taul, no enfatizarlo, durante los resúmenes”.

Stabile se refirió a que al escuchar las transcripciones en el juicio contra Geovanny Fuentes de 2021, el gobierno de EUA llamó a testificar al experto Darío Euraque, quien fue calificado por el Tribunal como “experto en la historia de Honduras y sus sistemas sociales y políticos”.

Durante dicho contrainterrogatorio, Euraque aseveró que el narcotráfico en Honduras “había disminuido”, contrario a lo declarado por Taul durante el juicio de Hernández, quien consideraba que el tráfico de drogas en el país había aumentado de 2014 a 2019ñ

Stabile argumenta que la Fiscalía de EUA se negó a llamar a Euraque al juicio del exmandatario hondureño para “evitar que repitiera este testimonio perjudicial”.

“Si bien esa era prerrogativa del gobierno, era inadecuado confiar en el testimonio contradictorio e irreconocible de la Sra. Taul y argumentarlo ante el jurado”, dice parte de la misiva.

En ese sentido, pide a la Fiscalía de EUA corregir el resumen del testimonio de la agente de la DEA y que en el documento proporcionado al jurado diga textualmente “el volumen de cocaína a través de Honduras disminuyó durante la presidencia del acusado, de 2014 a 2022”

$!Defensa de JOH califica como “falso” testimonio de agente de la DEA y solicita hacer corrección
$!Defensa de JOH califica como “falso” testimonio de agente de la DEA y solicita hacer corrección
$!Defensa de JOH califica como “falso” testimonio de agente de la DEA y solicita hacer corrección

Stabile se apega a “reducción” del narcotráfico en gobierno de JOH

Stabile argumnentó que hay “varias” organizaciones internacionales de narcóticos e Informes de Estrategia de Control (INCSR) que documentan la reducción en el flujo de cocaína a través de Honduras durante la presidencia de Hernández en Honduras.

El togado hizo referencia al INCSR de 2016 que señala que “según estimaciones de Estados Unidos, el volumen de cocaína que transitó de Honduras a Estados Unidos durante este período disminuyó un 40 por ciento con respecto a 2014”.

Del mismo modo, el de un año después, el de 2017, indica que “el número de aeronaves sospechosas de contrabandear cocaína a Honduras disminuyó aproximadamente un 30 por ciento respecto al año anterior, a 35 en total”.

Asimismo utilizó un fragmento del INCSR de 2020 que dice textualmente que “Estados Unidos estima aproximadamente el 4 por ciento, o 120 toneladas métricas (TM), de envíos de cocaína procedentes de Sudamérica hicieron una primera escala por vía aérea o marítima en Honduras”.

Será el juez Kevin Castel quien tome en cuenta esta petición de la defensa del exgobernante y determine si será tomada en cuenta o denegada.

autor

Staff de EL HERALDO, medio de comunicación hondureño fundado en 1979.

Notas Relacionadas