Economía

Miriam Guzmán: 'L 140,000 es el sueldo que yo devengo”

FOTOGALERÍA
21.07.2017

Tegucigalpa, Honduras
Las autoridades del Servicio de Administración de Rentas (SAR) aclararon este viernes porqué el pago de salarios de junio pasado es mayor que el registrado en mayo anterior.

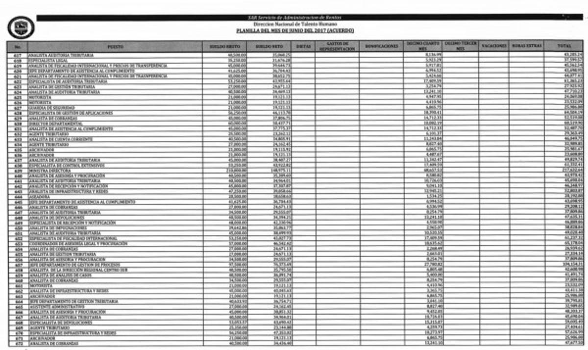
El salario bruto de 210,000 lempiras de junio anterior acreditado a la ministra directora del SAR, Miriam Guzmán, es real tal como lo informó EL HERALDO el pasado miércoles.

La razón que explica el aumento de 70,000 lempiras respecto a la planilla de mayo es porque el mes anterior se acreditó a la citada funcionaria tres catorcenas, así como al resto de personal de esa institución, de acuerdo con Ana Fúnez, directora nacional de Talento Humano del SAR.

Guzmán en conferencia de prensa aclaró que su salario bruto es de 140,000 lempiras mensuales, tal como lo acreditó con constancias de las transferencias bancarias recibidas a su cuenta y extendidas por la Secretaría de Finanzas (Sefin).

“Si el morbo es que quieren oír cuanto gano, perfecto. Según la escala salarial, el cargo que yo ostento tiene asignado un salario de 140,000 lempiras mensuales”, respondió Guzmán ante la insistencia de los periodistas de que revelara cuánto ganaba como directora del SAR.

“Ese es el sueldo que yo devengo, ¿cuál es el problema?”, dijo en tono molesto la funcionaria.

“El mismo salario con el que entré a trabajar el 3 de enero de este año es el mismo salario que en la actualidad a mí se me paga”, subrayó la entrevistada.

Por cada catorcena, Guzmán recibe 70,000 lempiras en concepto de salario bruto y 49,658.37 en salario neto, que la cifra mostrada de la primera catorcena de julio.

El sistema de pago de la oficina responsable de los tributos internos es por catorcena, o sea que los funcionarios y empleados reciben pago por cada 14 días trabajados, lo que en junio anterior dio lugar a que se acumulara una catorcena adicional, el que viene a representar el 33% del salario bruto mensual de cada empleado.

El Servicio de Administración de Rentas es de las pocas instituciones públicas de Honduras en donde se aplica el sistema de pago por catorcenas, ya que en la mayoría es mensual, teniendo como fecha de referencia el día 20.

¿Cuánto ganó en junio?

La información publicada por este medio de comunicación el miércoles anterior tiene como sustento los reportes de planillas que el SAR publica en su Portal de Transparencia.

Según el memorando SAR-DNTH-2125-2017, el que envía Fúnez a Mayda Arely Sosa álvarez de la Unidad de Información Pública del Servicio de Administración de Rentas, la casilla 639 corresponde a la ministra directora y revela que el salario bruto fue de 210,000 lempiras y 148,975.11 lempiras en salario neto.

A lo anterior se le agregaron 68,675.53 lempiras por concepto de decimocuarto mes.

En total, la titular de la SAR recibió 217,632.64 lempiras en pago de salarios y décimo cuarto mes en junio pasado.

Miriam Guzmán dijo que se hizo una mala interpretación al decir que hubo un aumento de 70,000 lempiras en junio respecto a mayo.

Agregó que no se revisó el Régimen de Carrera de Empleados y Funcionarios del SAR, sin precisar que ahí se encuentra establecido el sistema de pago en catorcenas.

Responsabilidad

Los salarios, así como otro tipo de información, es obligación de las instituciones del Estado publicarla en los portales de transparencia de cada dependencia.

En el caso de la planilla del SAR, la directora nacional de Talento Humano admite que hubo una confusión en el manejo de la información.

Los 210,000 lempiras de salario bruto que ganó Miriam Guzmán en junio pasado son reales, corresponde al pago de tres catorcenas y experimentó un incremento de 70,000 respecto a mayo anterior, ya que en ese mes solo se le acreditó el equivalente a dos catorcenas, o sea 140,000 lempiras.

Ana Fúnez dice que de ahora en adelante se van a tomar las buenas prácticas en el manejo de los portales de transparencia de otras instituciones como el Banco Central y la Comisión Nacional de Bancos y Seguros.

La entrevistada aceptó que no hubo claridad en el difusión de la información y eso es lo que al final generó la confusión.